In vitro Activity of Novel Cannabinoids Derived from Tetrahydrocannabinolic Acid on Various Human Tumor Cell Lines


General Family Medicine No.1.2025

In vitro Activity of Novel Cannabinoids Derived from

Tetrahydrocannabinolic Acid on Various Human Tumor

Cell Lines

  • Alexander Aizikovich*
  • CEO AL&AM Pharmachem Ltd, Rehovot, 7630505, Israel
  • ABSTRACT
  • The in vitro study of tetracannabinolic acid (THCA) derivatives ALAM027 and ALAM108 was carried out on the following human tumor cells: T47D (breast, ductal carcinoma), PC-3 (prostate, adenocarcinoma), HT-29 (colorectal carcinoma), Caco-2 (colon, adenocarcinoma), A549 (lung,carcinoma), U87MG (human glioblastoma) and U266B1 (multiple myeloma).The in vitro effects of THCA derivatives ALAM027 and ALAM108 on cell growth inhibition and IC50 values were measured using the CellTiter Glo assay.The ALAM027 compound showed good growth inhibition in all cell lines tested with the exception of U87MG cells. The ALAM108 compound also suppressed the growth of U87 MG cells but had little effect on T47D tumor cells.In vitro studies of THCA derivatives ALAM027 and ALAM108 showed antitumor activity in all cell lines tested. The difference in the activity of these compounds in relation to the T47D and U87MG tumor cells may be indicative of different functional mechanisms.
  • Keywords:THCA;Cannabinoids;T47D;PC-3 HT-29;Caco-2;A549;U87MG;U266B

  • 1.Introduction
  • Tetrahydrocannabinolic acid (THCA) is the main component of Cannabis sativa. However, in contrast to its derivative THC, the biological properties of THCA have been studied to a much lesser extent, particularly because it is difficult to isolate and because of its high sensitivity to heat and UV radiation . A convenient and inexpensive method has recently been described to isolate this acid using ion-exchange resins, opening up the way to industrial scale production and making THCA a suitable starting product for drug synthesis. This advance has recently facilitated the synthesis of two THCA

  • derivatives, ALAM027 and ALAM108, which exhibit good anti-tumor-activity in PANC-1 and AsPC-1 cell lines.Since natural cannabinoids such as THC and CBD are known to have broad-spectrum anti-tumor activity against many types of tumors, it is of interest to investigate a potential effect of ALAM027 and ALAM108 on various types of cancer cells. According to World Health Organization data the most widespread types of cancers are breast, lung, colon, intestine, pancreatic, prostate tumors and blood diseases such as multiple myeloma. Brain tumors such as gliomas are also potentially interesting, particularly because of their aggressive and highly invasive properties.


  • To facilitate comparisons between previously
  • reported activities of natural cannabinoids and the ALAM027 and ALAM108 compounds, the current study examines the effects of these compounds on the following human cancer cell lines: T47D (breast, ductal carcinoma), PC-3 (prostate, adenocarcinoma), HT-29 (colorectal car- cinoma), Caco-2 (colon, adenocarcinoma), A549 (lung, carcinoma), U87MG (human glioblastoma) and U266B1(- multiple myeloma).
  • All these tumor cell lines express significant levels of CB1 and CB2 receptors in their cell membrane and this amount increases with cell proliferation. Thus, several articles have been devoted to studying the effects ofTHC and CBD on tumor cell line T47D which is often used in breast cancer research.
  • The PC-3 cell line is also often used in prostate cancer research. Studies examining the effects of cannabinoids on PC-3 cells have predominantly focused on elucidating tumor
  • growth suppression mechanisms.
  • The HT-29 cell line is a colorectal tumor line which is often used as an epithelial cell model to study new drug candidates because of its ability to differentiate . Cannabinoids have a significant effect on HT-29 cells as they induce cell death through apoptosis and inhibit proliferation. The role of cannabinoid receptors in these processes has been studied by examining effects of agonists such as THC and CBD on cancer cells in the presence and absence of CB1 and CB2 antagonists.
  • Sim il arly t o HT- 2 9 c ell s, n atur a l cannabinoid s also sup - press colorectal adenocarcinoma Caco-2 cell growth by inducing apoptosis and inhibiting cell proliferation which

  • is mediated through CB1 receptor binding.
  • A549 is one of the most widely studied lung tumor cell line, which is often used as a testing ground for new drugs, such as natural and synthetic cannabinoids because the main determining factor of the anticancer effect of these cannabinoids on A549 cells is their ability to block the CB1 receptor, which is overexpressed in non-small cell lung tumors.
  • Brain glioblastoma occupies an important place among studies of the anticancer activity of cannabinoids. A significant number of research studies have focused on the effects of THC and CBD ligands on U87 MG, in particular because of their rather substantial in vitro and in vivo activities. It is interesting to note that, in contrast to SF126 glioblastoma cells, in the case of U87MG cells THC does not exhibit a pleiotropic effect at 1 µM concentration and below. Multiple myeloma is one of the most serious hematological diseases and is characterized by drug resistance. Cannabinoids are among the most promising candidates for the treatment of this disease. Recent research indicates that the IC50 values for CBD and THC in U266 cells are 19.8 µM and 39.5 µM respectively, and their combined use leads to the synergistic increase of cytotoxic effects when compared to their individual activities.
  • The present activity study of the ALAM027 and ALAM108 compounds in these selected tumor cell lines will not only allow to assess their anticancer activity but also, to a certain extent, could be used to understand their putative functional mechanisms.
  • 2.Materials and Methods


  • Synthesis data and spectral characteristics of THCA derivatives ALAM027 and ALAM108 have been described previously. The in vitro study was performed on T47D, PC-3, HT- 29, Caco-2, A549, U87MG and U266B1 cells obtained from the Chempartner (China) collection using the CellTiter Glo Viability Assay. Cells were seeded in 96- well plates in a volume of 100 μl per well, according to the planned plate layout and a predefined seeding density. Plates were incubated in a CO2 incubator overnight. The compound stock solution was diluted with DMSO to a 200 final concentration, and serial 3-fold

  • dilutions prepared from a 2-mM solution (final concentration range: 0.5- 10000 nM for 10 doses). An internal staurosporine control was included on each plate. A volume of 0.5 μl of diluted compound was added to appropriate wells according to the plate layout. The plates were incubated at 5% CO2, 37°C for 72 hours. After this incubation, CellTiter-Glo reagents were prepared and added, and the plates read in an Envision plate reader. Inhibition and IC50 for each of the compounds were calculated with the XLFit curve fitting software (n=2, Z Factor, SW).


  • Clinical research

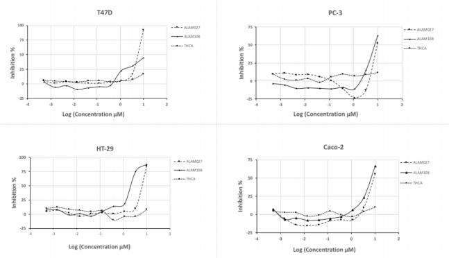
    Figure 1. Growth inhibition curves of T47D, PC-3, HT-29, Caco-2, A549, U87MG and U266B1 cells

    at a wide range of THCA, ALAM027, and ALAM108 concentrations.


  • 3.Results and Discussions
  • The structures of THCA and its derivatives ALAM 027 and ALAM108 are shown below.
  • The growth inhibition curves of T47D, PC- 3, HT-29, Caco-2, A549, U47MG and U266B1 tumor cells as a function of THCA, ALAM027 and ALAM108 concentrations are shown in Figure 1.
  • Compared to its derivatives the level of THCA growth inhibition, was generally low for all cell lines examined but THCA did tend to inhibit T47D, A549 and U87MG cell proliferation to a greater extent than the other lines (Table 1).
  • For the T47D cell line, the ALAM027 compound shows good growth inhibition with an IC50 value comparable to THC (6.7 µM) and CBD (5 µM). The ALAM108 compound is less active, though its ability to inhibit cell

  • proliferation significantly exceeds that of THCA.
  • The inhibition values of both cannabinoids on PC-3 prostate tumor cells are very similar (Table 1) but the ALAM027 compound yields a pleiotropic effect at 1 µM concentration following the growth inhibition.The comparison of both cannabinoid activities in HT-29 cells shows that these cells are more sensitive to ALAM108 than to ALAM027 while IC50 values of both compounds are much higher than those of CBD (23-30 µM) and THC (30 µM). However, in the case of Caco- 2 cells the IC50 values differ slightly and are comparable to those obtained in PC-3 cells.
  • The effect of ALAM027 and ALAM108 on A549 cells is practically the same both in terms of the degree of inhibition and IC50 . When compared to THC (27.2 µM) and CBD (37.1µM)


  • [19] this advantage becomes clearly evident.
  • Regarding the U87MG cell line, compound ALAM027 shows a low - level activity comparable to THCA. Cannabinoid ALAM108 effectively inhibits cell survival with an IC50 of 3.37 µM that is on par with the activity of THC (IC50 1.2-14 µM) and CBD (IC50 1.5- 9.7 µM) in this cell line. One of the possible reasons may be the ability of ALAM108 to pass through the blood-brain barrier due to its greater hydrophobicity (LogP 5.81) compared to ALAM027 (LogP 4.38). Perhaps this assumption is very relative, but currently available cannabinoid anticancer activity data on U87MG cells only relates to THC, CBD and some synthetic cannabinoids like WIN55,212-2.
  • The comparison of both cannabinoid activity against U266B1 cells shows the advantage of ALAM108 as for other cell lines.
  • Table 1. IC50 and inhibition values (10 µM) of THCA and its derivatives on T47D, A549, PC-3, HT-29, Caco-2, U87 MG, and U266B1 tumor cells.
  • 4.Conclusions
  • Our current in vitro study of THCA

  • derivative s ALAM027 and ALAM108 showed their antitumor activity in all the tumor cell types examined. The difference in the activity of these compounds in relation to th e T47D and U87MG tumor cells may be indicative of different functional mechanisms.
  • Acknowledgment

  • The author thanks the employees of the Shanghai Chempartner (China) for their high professionalism and attention to his work.
  • Author Disclosure Statement

  • The author has no conflicts of interest, and no competing financial interests exist.
  • Funding Information

  • This work was funded from the AL&AM Pharmachem Ltd. company's own funds. (Grant ALAM2019-001).
  • References
  • [1]Alexander Aizikovich. Process of purification of cannabinolic acids from plant material extract. WO 2020016875.
  • [2]Alexander Aizikovich . Cannabinolic acid derivatives and used thereof. WO 2019234728.
  • [3]Alexander Aizikovich. Anticancer Effect of New Cannabinoids Derived from Tetrahydrocannabinolic Acid on PANC-1 and AsPC-1 Human Pancreas Tumor Cells. Journal of Pancreatic Cancer. 2020, 6, pp. 40-44. DOI: 10.1089/pancan.2020.00034.
  • [4]Emily S. Seltzer, Andrea K. Watters, Danny MacKen- zie Jr. , Lauren M . Granat, Dong Zhang. Cannabidiol (CBD) as a Promising Anti-Cancer Drug. Cancers. 2020, 12, 3203, pp.1-26;
  • DOI: 10.3390/cancers12113203.
  • [5]Paweł Sledzinnski, Joanna Zeyland, Ryszard Słomski and Agnieszka Nowak. The current state and future perspectives of cannabinoids in cancer biology. Cancer medicine. 2017, 7, pp. 765-775.
  • DOI: 10.1002/cam4.1312.
  • [6]Olga Kovalchuk, Igor Kovalchuk. Cannabinoids as anticancer therapeutic agents. Cell Cycle. 2020, pp.


  • 1-29. doi.org/10.1080/15384101.2020.1742952.
  • [7]Claudia A. Dumitru, I. Erol Sandalcioglu and Meliha Karsak. Cannabinoids in Glioblastoma Therapy: New Applications for Old Drugs. Frontiers in Molecular Neuroscience. 2018, 11, 159, pp. 1-7.DOI: 10.3389/ fnmol.2018.00159.
  • [8]Sungryul Yu, Taemook Kim, Kyung Hyun Yoo, Keun- soo Kang. The T47D cell line is an ideal experimental model to elucidate the progesterone - specific effects of a luminal A subtype of breast cancer. Biochemical and Biophysical Research Communications. 2017, 486, pp. 752-758. http://dx.doi.org/10.1016/ j.bbrc.2017.03.114.
  • [9]Terezia Kiskova, , Felicitas Mungenast, Maria Suva- kova, Walter Jäger and Theresia Thalhammer. Future Aspects for Cannabinoids in Breast Cancer Therapy.Int. J. Mol. Sci. 2019, 20, 1673, pp.1-21; DOI: 10.3390/ijms20071673.
  • [10]Maria M. Caffarel, David Sarrio, Jose Palacios, Manuel Guzman, and Cristina Sanchez. Tetrahydro- cannabinol Inhibits Cell Cycle Progression in Human Breast Cancer Cells through Cdc2 Regulation. Cancer Res. 2006, 66, pp.6615-6621.DOI: 10.1158/0008-5472. CAN-05-4566.
  • [11]Ahmed S. Sulta, Mona A. Marie, Salah A. Sheweita . Novel mechanism of cannabidiol induced apoptosis in breast cancer cell lines. The Breast. 2018, 41, pp. 34-41. doi.org/10.1016/j.breast.2018.06.009.
  • [12]Maria G . Sanchez, Lidia Ruiz-Llorente, Ana M. Sanchez, Ines Diaz-Laviada. Activation of phosphoinositide 3-kinase/PKB pathway by CB1 and CB2 cannabinoid receptors expressed in prostate PC-3 cells. Involvement in Raf-1 stimulation and NGF induction. Cellular Signalling. 2003, 15, pp. 851–859. DOI: 10.1016/ S0898-6568(03)00036-6.
  • [13]Lidia Ruiz, Alberto Miguel, Ines Diaz-Laviada. 9-Tetrahydrocannabinol induces apoptosis in human prostate PC-3 cells via a receptor-independent mechanism. FEBS Letters . 1999, 458, pp. 400-404. PII: S0 014- 5793(99)01073–X.
  • [14]Daniela Cerretani, Giulia Collodel, Antonella Brizzi, Anna Ida Fiaschi, Andrea Menchiari, Elena Moretti, Laura Moltoni and Lucia Micheli. Cytotoxic Effects of Cannabinoids on Human HT-29 Colorectal Adenocarcinoma Cells: Different Mechanisms of THC, CBD, and CB83. Int. J. Mol. Sci. 2020, 21, 5533, pp.1- 15;DOI: 10.3390/ijms21155533.

  • [15]Wesley M. Raup-Konsavage, Megan Johnson, Chris- topher A. Legare. Gregory S. Yochum, Daniel J. Morgan, and Kent E. Vrana. Synthetic Cannabinoid Activity Against Colorectal Cancer Cells. Cannabis and Cannabinoid Research. 2018, 3.1, pp.272-281 . DOI: 10.1089/can.2018.0065.
  • [16]Sofia B. Gustafsson, Theres Lindgren, Maria Jonsson, Stig O. P. Jacobsson. Cannabinoid receptor- independent cytotoxic effects of cannabinoids in human colorectal carcinoma cells: synergism with 5-Fluorouracil. Cancer Chemother Pharmacol. 2009, 63. pp.691–701.
  • DOI: 10.1007/s00280-008-0788-5.
  • [17]Gabriella Aviello, Barbara Romano, Francesca Borrelli, Raffaele Capasso, Laura Gallo, Fabiana Piscitelli, Vincenzo Di Marzo, Angelo A. Izzo. Chemo preventive effect of the non-psychotropic phytocannabinoid cannabidiol on experimental colon cancer. J Mol Med. 2012, 90, pp. 925–934DOI: 10.1007/s00109-011-0856-x.
  • [18]Liran Baram, Ella Peled, Paula Berman, Ben Yellin, Elazar Besser, Maya Benami, IgalLouria-Hayon, Gil M. Lewitus1 and David Meiri. The heterogeneity and complexity of Cannabis extracts as antitumor agents. Oncotarget, 2019, 10. pp: 4091-4106.DOI:10.18632/ oncotarget.26983.
  • [19]Anju Preet, Zahida Qamri, Mohd W Nasser, Anil Prasad, Konstantin Shilo, Xianghong Zou, Jerome E. Groopman, and Ramesh K. Ganju. Cannabinoid Recep- tors, CB1 and CB2, as Novel Targets for Inhibition of Non–Small Cell Lung Cancer Growth and Metastasis. Cancer Prevention Research. 2010, 4, pp. 65-75.DOI: 10.1158/1940-6207.CAPR-10-0181.
  • [20]Lara Milian, Manuel Mata, Javier Alcacer, Maria Oliver, Maria Sancho-Tello, Jos Javier Martin de Llano, Carlos Camps, Jose Galbis, Julian Carretero, Carmen Carda. Cannabinoid receptor expression in non-small cell lung cancer. Effectiveness of tetrahydrocan- nabinol and cannabidiol inhibiting cell proliferation and epithelial- mesenchymal transition in vitro. Plos One. 2020,12, pp. 1-17. doi.org/10.1371/journal. pone.0228909.
  • [21]CJ Fowler. 9 -Tetrahydrocannabinol and cannabidiol as potential curative agents for cancer. A critical examination of the preclinical literature. “Accepted Article”.DOI: 10.1002/cpt.84.
  • [22]Katherine A. Scott, Angus G. Dalgleish, and Wai M. Liu The Combination of
  • Cannabidiol and 9-Tetra- hydrocannabinol Enhances the Anticancer Effects of Radiation in an Orthotopic

  • Murine Glioma Model. Molecular Cancer Therapeutics. 2014, 12, pp. 2955-2967. DOI:10.1158/1535-7163.MCT- 14-0402.
  • [23]Elena Monti, Tizi ana Rubino, Daniela Parolaro. Cannabidiol, a Non-Psychoactive Cannabinoid Compound, Inhibits Proliferation and Invasion in U87- MG and T98G Glioma Cells through a Multitarget Effect. PLOS ONE. 2013, 8, pp 1-9.DOI: 10.1371/journal. pone.007691.
  • [24]Massimo Nabissi, Maria Beatrice Morelli, Massimo Offidani, Consuelo Amantini, Silvia Gentili, Alessan- dra Soriani, Claudio Cardinali, Pietro Leoni, Giorgio Santoni. Cannabinoids synergize with car lzomib, reducing multiple myeloma cells viability and migration. Oncotarget. 2016, 7, pp. 77543-77557.DOI: 10.18632/ oncotarget.12721.
  • [25]Ji-Hu Zhang, Thomas D. Y. Chung and Kevin R. Oldenburg. A Simple Statistical Parameter for Use in Evaluation and Validation of High Throughput Screening Assays . J Biomol Screen,1999, 4, pp . 67-73.DOI: 10.1177/108705719900400206.